前回の記事「特許明細書の段落番号の処理(ワイルドカードの活用)」に続いて、特許明細書の書式変換に関する置換方法です。
今回は、以下のフローにて②から③への変換方法です。
①原文
【0021】(改行)
□あいうえお
↓
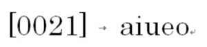
②翻訳後
[0021](改行)
_aiueo
↓
③書式変更
[0021](タブ)aiueo
(□は全角スペース、_ は半角スペースとご理解下さい。)
<目次>
置換例
この変換方法もいくつか記載方法がありますが、一例としてご覧下さい。
検索する文字列:\[([0-9]{4})\]^13_
置換後の文字列:[\1]^t
または、このような記述も可能です。
検索する文字列:(\[[0-9]{4}\])^13_
置換後の文字列:\1^t
上記の検索式の読み方は、以前勉強会で配付しました資料をご覧下さい(ワイルドカード検索の説明資料 、ワイルドカード置換の説明資料 )。 まだ、うまく紙面で解説できておりませんが、参考まで。
これは、半角のスクウェアブラケット( [ と ] )で囲まれた半角4桁数字の直後に改行があり、改行の直後に半角スペースがある固まりを探します。
「ワイルドカードを使用する」をオンにしてご利用下さい。
それ自体を、今検索した半角のスクウェアブラケットで囲まれた半角4桁数字の直後にタブが書かれている文字列と置換します。
活用例
書式は、顧客によっても、特許事務所の方針によっても変わると思います。
たとえば、段落番号のあとには、半角スペースを2つ入れる場合もありますよね。
そのような場合には「置換後の文字列」を以下のように変更してみます。
置換後の文字列:[\1]__
^t (タブ) のかわりに、_ (半角スペース) を2つ記載してあります。
結果、以下のようになります。いろいろとお試し下さい。








